| Inicio | Política Actual | Campañas | Documentación PCP | Marx - Lenin - Mao Tse-tung | Enlaces | Contacto | ||||||
Carlos Marx
CAPITULO IX
TASA Y MASA DEL PLUSVALOR
Como hasta aquí, suponemos en este capítulo que el valor de la fuerza de trabajo, o sea de la parte de la jornada laboral necesaria para la reproducción o conservación de la fuerza de trabajo, es una magnitud dada, constante.
Una vez presupuesto esto, con la tasa del plusvalor queda dada a la vez la masa del plusvalor que el obrero individual suministra al capitalista en determinado período. Si, a modo de ejemplo, el trabajo necesario asciende diariamente a 6 horas, expresadas en una cantidad de oro equivalente a 3 chelines = 1 tálero, tendremos que el tálero es el valor diario de una fuerza de trabajo, o el valor del capital adelantado en la compra de una fuerza de trabajo. Si, además, la tasa del plusvalor es de 100 %, este capital variable de 1 tálero producirá una masa de plusvalor de 1 tálero, o bien el obrero producirá diariamente una masa de plustrabajo de 6 horas.
El capital variable, empero, es la expresión dineraria correspondiente al valor total de todas las fuerzas de trabajo que el capitalista emplea simultáneamente en un proceso de producción determinado. Si el valor diario de una fuerza de trabajo es de 1 tálero, será necesario adelantar un capital de 100 táleros para explotar diariamente 100 fuerzas de trabajo, y de n táleros para explotar n fuerzas de trabajo. El valor del capital variable adelantado será igual, pues, al valor medio de una fuerza de trabajo, multiplicado por el número de las fuerzas de trabajo empleadas. Por consiguiente, si el valor de la fuerza de trabajo está dado, el monto de valor o la magnitud del capital variable cambiará con la masa de las fuerzas de trabajo apropiadas o con el número de los obreros utilizados simultáneamente [jj].
Del mismo modo, si un capital variable de 1 tálero, el valor diario de una fuerza de trabajo, produce un plusvalor diario de 1 tálero, un capital variable de 100 táleros producirá un plusvalor diario de 100, y uno de n táleros un plusvalor diario de 1 tálero x n. La masa del plusvalor producido es, por tanto, igual al plusvalor que suministra la jornada laboral del obrero individual, multiplicada por el número de obreros utilizados. Pero, además, como la masa de plusvalor producido por el obrero individual estando dado el valor de la fuerza de trabajo , se determina por la tasa del plusvalor, tendremos entonces [kk]: la masa del plusvalor producido es igual a la magnitud del capital variable adelantado multiplicada por la tasa del plusvalor, o bien se determina por la razón compuesta entre el número de las fuerzas de trabajo explotadas por el mismo capitalista y el grado de explotación de cada fuerza individual de trabajo [ll].
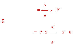
Por tanto, si denominamos P a la masa del plusvalor; p al plusvalor diariamente proporcionado, término medio, por el obrero individual; v al capital variable adelantado por día para comprar cada fuerza de trabajo; V a la suma total del capital variable; f al valor de una
| a' ( trabajo excedente ) | |
| fuerza de trabajo | __________ |
| a' ( trabajo excedente ) |
trabajo necesario a su grado de explotación, al número de los obreros utilizados, tendremos entonces:

Suponemos siempre no sólo que el valor de una fuerza de trabajo media es constante, sino también que los obreros utilizados por un capitalista se reducen a obreros medios. Hay casos excepcionales, en que el plusvalor producido no aumenta proporcionalmente al número de los trabajadores explotados, pero siendo así tampoco se mantiene constante el valor de la fuerza de trabajo.
En la producción de determinada masa de plusvalor, pues, puede compensarse el decrecimiento de un factor por el acrecentamiento de otro. Si mengua el capital variable y simultáneamente aumenta la tasa del plusvalor en la misma proporción, la masa del plusvalor producido se mantendrá inalterada. Si, en los supuestos anteriores, el capitalista debe adelantar 100 táleros para explotar diariamente 100 obreros y la tasa del plusvalor asciende a 50 % , este capital variable de 100 arrojará un plusvalor de 50 [mm], o sea de 100 x 3 horas de trabajo. Si se duplica la tasa del plusvalor, o se prolonga no de 6 a 9 sino de 6 a 12 horas la jornada laboral, un capital variable reducido a la mitad, esto es, de 50 táleros, generará de la misma manera un plusvalor de 50 táleros o de 50 x 6 horas de trabajo. La reducción del capital variable, en consecuencia, se puede compensar por el aumento proporcional en el grado de explotación a que está sometida la fuerza de trabajo, o, en otras palabras, la reducción en el número de obreros ocupados es compensable por la prolongación proporcional de la jornada laboral. Dentro de ciertos límites, como vemos, el aflujo de trabajo explotable por el capital es independiente del aflujo de obreros [1]. A la inversa la disminución en la tasa del plusvalor deja inalterada la masa del plusvalor producido, siempre que aumente proporcionalmente la magnitud del capital variable o el número de los obreros utilizados.
No obstante, la subrogación del número de obreros o de la magnitud de capital variable por tasa acrecentada del plusvalor o prolongación de la jornada laboral, presenta límites infranqueables. Sea cual fuere el valor de la fuerza de trabajo, ascienda a 2 ó a 10 horas el tiempo de trabajo necesario para la conservación del obrero, el valor total que un obrero puede producir día tras día será siempre menor que el valor en el que se objetivan 24 horas de trabajo, menor que 12 chelines o 4 táleros si ésta es la expresión dineraria de 24 horas de trabajo objetivadas. Conforme a nuestro supuesto anterior, según el cual se requieren 6 horas de trabajo por día para reproducir la fuerza de trabajo misma o remplazar el valor del capital adelantado para comprarla, un capital variable de 500 táleros que emplee 500 obreros a una tasa de plusvalor de 100 %, o en jornadas laborales de 12 horas, producirá diariamente un plusvalor de 500 táleros, o de 6 x 500 horas de trabajo. Un capital de 100 táleros que emplee diariamente 100 obreros a una tasa de plusvalor de 200 %, o con jornadas laborales de 18 horas, sólo producirá una masa de plusvalor de 200 táleros, o sea de 12 x 100 horas de trabajo. Y su producto total de valor, equivalente al capital variable adelantado más el plusvalor, no podrá alcanzar nunca, un día con otro, la suma de 400 táleros, o de 24 x 100 horas de trabajo. El límite absoluto de la jornada laboral media, que por naturaleza será siempre de menos de 24 horas, constituye una barrera absoluta para compensar el capital variable [nn] aumentando la tasa del plusvalor, o el número de obreros explotados [oo] aumentando el grado de explotación de la fuerza de trabajo. Esta tangible ley [pp] es importante para explicarse muchos fenómenos derivados de la tendencia, que más adelante analizaremos, del capital a reducir siempre lo más posible el número de obreros por él utilizados o sea su parte variable invertida en fuerza de trabajo en contradicción con su otra tendencia, la de producir la mayor masa posible de plusvalor. Y a la inversa. Si aumenta la masa de las fuerzas de trabajo empleadas, o la magnitud del capital variable, pero no proporcionalmente a la disminución en la tasa del plusvalor, mengua la masa del plusvalor producido.
Del hecho de que la masa de la mercancía producida se determine por los dos factores, tasa del plusvalor y magnitud del capital variable adelantado, resulta una tercera ley. Una vez dados la tasa del plusvalor o grado de explotación de la fuerza de trabajo y el valor de la fuerza de trabajo o magnitud del tiempo de trabajo necesario, se desprende de suyo que cuanto mayor sea el capital variable tanto mayor será la masa del valor y el plusvalor producidos. Si está dado el límite de la jornada laboral, y asimismo el límite de su parte necesaria, la masa de valor y plusvalor que produzca un capitalista individual dependerá exclusivamente, como es obvio, de la masa de trabajo que ponga en movimiento. Pero ésta, en los supuestos dados, dependerá de la masa de fuerza de trabajo o del número de obreros que aquél explote, y este número estará determinado a su vez por la magnitud del capital variable que haya adelantado. Dados la tasa del plusvalor y el valor de la fuerza de trabajo, las masas del plusvalor producido estarán en relación directa a las magnitudes del capital variable adelantado. Ahora bien, se sabe que el capitalista divide su capital en dos partes. Una la invierte en medios de producción. Es ésta la parte constante de su capital. La otra la invierte en fuerza de trabajo viva. Esta parte constituye su capital variable. En los diversos ramos de la industria, aunque se basen en el mismo modo de producción, se ecuentran diferentes distribuciones del capital en partes constante y variable. Dentro del mismo ramo de la producción varía esa proporción a la par de la base técnica y de la combinación social del proceso productivo. Pero cualquiera que sea la proporción en que un capital dado se descomponga en partes constante y variable ya sea la última a la primera como 1: 2; 1: 10 ó 1 : x , la ley recién enunciada no se ve afectada por ello, pues conforme al análisis anterior el valor del capital constante reaparece por cierto en el valor del producto, pero no en el nuevo producto de valor creado. Para utilizar a 1.000 hilanderos se requieren, por supuesto, más materias primas, husos, etcétera, que para emplear a 100. Pero suba, baje, se mantenga inalterado, sea grande o pequeño el valor de estos medios de producción adicionales, dicho valor no ejercerá influjo alguno en el proceso de valorización de las fuerzas de trabajo que los ponen en movimiento. La ley enunciada más arriba adopta pues la siguiente forma: estando dado el valor de la fuerza de trabajo y siendo igualmente grande el grado de explotación de la misma, las masas de valor y plusvalor producidas por diversos capitales estarán en razón directa a las magnitudes de las partes variables de esos capitales, esto es, a sus partes invertidas en fuerza de trabajo viva.
Esta ley contradice abiertamente toda la experiencia fundada en las apariencias. Todo el mundo sabe que el dueño de una hilandería de algodón que, si nos atenemos a los porcentajes del capital total empleado, utiliza proporcionalmente mucho capital constante y poco capital variable, no por ello obtiene una ganancia o plusvalor menor que un panadero, quien comparativamente pone en movimiento mucho capital variable y poco capital constante. Para resolver esta contradicción aparente se requieren aún muchos eslabones intermedios, tal como en el plano del álgebra elemental se necesitan muchos términos medios para comprender que la expresión
0
0
puede representar una magnitud real. Aunque nunca la haya formulado, la economía clásica se aferra instintivamente a esa ley, pues se trata de una consecuencia necesaria de la ley del valor en general. Procura salvarla abstrayéndose violentamente de las contradicciones del fenómeno. Más adelante [2] [3] veremos cómo la escuela ricardiana ha tropezado en esa piedra del escándalo [4]. La economía vulgar, que "realmente tampoco ha aprendido nada" [5], aquí como en todas partes se atiene a la apariencia, alzándose contra la ley que rige al fenómeno. Cree, por oposición a Spinoza, que "la ignorancia es razón suficiente" [6].
El trabajo que el capital total de una sociedad pone en movimiento día por día, puede considerarse como una jornada laboral única. Si, por ejemplo, el número de los obreros es de un millón y la jornada laboral media de un obrero asciende a 10 horas, la jornada laboral de la sociedad ascenderá a 10 millones de horas. Dada cierta duración de esta jornada laboral, y es lo mismo que se hayan trazado sus límites por motivos de orden físico o de orden social, sólo se puede aumentar la masa del plusvalor si se acrecienta el número de los obreros, esto es, la población obrera. El crecimiento de la población configura aquí el límite matemático para la producción de plusvalor por el capital total social. Y a la inversa. Estando dada la magnitud de la población, ese límite lo conforma la prolongación posible de la jornada laboral [7]. Se verá en el próximo capítulo que esa ley sólo rige para la forma del plusvalor analizada hasta aquí.
Del examen que hasta aquí hemos hecho en torno a la producción del plusvalor se infiere que no todas las sumas de dinero o de valor son convertibles en capital; para esta conversión está presupuesto, antes bien, que un mínimo de dinero o de valor de cambio se encuentre en las manos del poseedor individual de dinero o de mercancías. El mínimo de capital variable es el precio de costo de una sola fuerza de trabajo, que a lo largo de todo el año, día tras día, se utilizara para la obtención de plusvalor. Si este obrero poseyera sus propios medios de producción y se contentara con vivir como obrero, le bastaría el tiempo necesario para la reproducción de sus medios de subsistencia, digamos 8 horas diarias. Unicamente necesitaría, pues, medios de producción para 8 horas de trabajo. El capitalista, en cambio, que además de esas 8 horas le hace ejecutar, digamos, 4 horas de plustrabajo, necesita una suma adicional de dinero para adquirir los medios de producción adicionales. Conforme a nuestro supuesto, sin embargo, tendría ya que utilizar dos obreros para poder vivir, con el plusvalor diario del que se apropia, al mismo nivel de un obrero, esto es, para satisfacer sus necesidades mínimas. En tal caso el objetivo de su producción sería la subsistencia lisa y llana, no el acrecentamiento de la riqueza, ahora bien, esto último está implícito en la producción capitalista. Para vivir apenas el doble de bien que un obrero común y reconvertir en capital la mitad del plusvalor producido, el capitalista tendría que multiplicar por ocho el número de obreros y el mínimo del capital adelantado. Es cierto que él mismo puede, al igual que su obrero, participar directamente en el proceso de producción, pero en ese caso sólo será un híbrido de capitalista y obrero, un "pequeño patrón". Cierto nivel de la producción capitalista hace necesario que el capitalista pueda dedicar todo el tiempo en que funciona como tal, es decir, como capital personificado, a la apopiación y por tanto al control del trabajo ajeno y a la venta de los productos de este trabajo [8]. Para impedir coactivamente la transformación del maestro artesano en el capitalista, el régimen gremial de la Edad Media restringió a un máximo muy exiguo el número de trabajadores a los que podía emplear un solo maestro. El poseedor de dinero o de mercancías no se transforma realmente en capitalista sino allí donde la suma mínima adelantada para la producción excede con amplitud del máximo medieval. Se confirma aquí, como en las ciencias naturales, la exactitud de la ley descubierta por Hegel en su Lógica, según la cual cambios meramente cuantitativos al llegar a cierto punto se truecan en diferencias cualitativas [9] (bis).[10]
La suma mínima de valor de la que debe disponer el poseedor individual de dinero o de mercancías para metamorfosearse en capitalista, varía con las diversas etapas de desarrollo de la producción capitalista y, en una etapa de desarrollo dada, difiere entre las diversas esferas de producción, según sus condiciones técnicas específicas. Ciertas esferas de la producción requieren ya en los comienzos de la producción capitalista un mínimo de capital que aún no se encuentra en manos de un solo individuo. Esto ocasiona, en parte, que se concedan subsidios estatales a dichos particulares, como en Francia en tiempos de Colbert y como en más de un estado alemán hasta nuestros días, y en parte la formación de sociedades que gozan del monopolio legal para la explotación de ciertos ramos industriales y comerciales [11], precursoras de las modernas sociedades por acciones.
No hemos de detenernos a considerar en detalle los cambios que experimenta, en el curso del proceso de producción, la relación entre el capitalista y el asalariado, ni tampoco las determinaciones ulteriores del capital. Pongamos aquí de relieve, simplemente, algunos puntos fundamentales.
Dentro del proceso de producción, el capital se convierte en mando sobre el trabajo, esto es, sobre la fuerza de trabajo que se pone en movimiento a sí misma, o el obrero mismo. El capital personificado, el capitalista, cuida de que el obrero ejecute su trabajo como es debido y con el grado de intensidad adecuado.
El capital se convierte, asimismo, en una relación coactiva que impone a la clase obrera la ejecución de más trabajo del que prescribe el estrecho ámbito de sus propias necesidades vitales. Y en cuanto productor de laboriosidad ajena, en cuanto succionador de plustrabajo y explotador de fuerza de trabajo, el capital excede en energía, desenfreno y eficacia a todos los sistemas de producción precedentes basados en el trabajo directamente compulsivo.
El capital comienza por subordinar al trabajo bajo las condiciones técnicas en que, históricamente, lo encuentra. No cambia inmediatamente, pues, el modo de producción. La producción de plusvalor en la forma considerada hasta aquí, mediante la simple prolongación de la jornada laboral, se presenta por ende como independiente de todo cambio en el modo de producción mismo. No era menos efectiva en la arcaica industria panadera que en la hilandería moderna de algodón.
Si enfocamos el proceso de producción desde el punto de vista del proceso laboral, el obrero no se comporta con los medios de producción como capital, sino como simple medio y material de su actividad productiva orientada a un fin. En una curtiembre, pongamos por caso, trata a los cueros como a su mero objeto de trabajo. No es al capitalista a quien le curte el cuero. Otra cosa ocurre cuando consideramos el proceso de producción desde el punto de vista correspondiente al proceso de valorización. Los medios de producción se transforman de inmediato en medios para la absorción de trabajo ajeno. Ya no es el obrero quien emplea los medios de producción, sino los medios de producción los que emplean al obrero. En lugar de ser consumidos por él como elementos materiales de su actividad productiva, aquéllos lo consumen a él como fermento de su propio proceso vital, y el proceso vital del capital consiste únicamente en su movimiento como valor que se valoriza a sí mismo. Hornos de fundición y edificios fabriles que quedan inactivos por la noche y no absorben trabajo vivo son "pura pérdida" ("mere loss") para el capitalista. Por eso, hornos de fundición y edificios fabriles constituyen un "titulo al trabajo nocturno" de las fuerzas de trabajo. La simple transformación del dinero en factores objetivos del proceso de producción, en medios de producción, convierte a estos últimos en títulos jurídicos y en títulos compulsivos al trabajo ajeno y al plustrabajo. Un ejemplo nos mostrará, finalmente, cómo se refleja en la conciencia de las cabezas capitalistas esta conversión, es más, este trastocamiento peculiar y característico de la producción capitalista de la relación que media entre el trabajo muerto y el vivo, entre el valor y la fuerza creadora de valor. Durante la revuelta de los fabricantes ingleses en 1848-1850, "el principal de la hilandería de lino y algodón en Paisley, una de las firmas más antiguas y respetables del oeste de Escocia, Carlile, Son & Co., que existe desde 1752 y ha sido dirigida de generación en generación por la misma familia", este inteligentísimo caballero, pues, escribió en el "Glasgow Daily Mail" del 25 de abri de 1849 una carta titulada "El sistema de relevos" [12], en la cual se desliza entre otras cosas el siguiente pasaje, grotescamente ingenuo: "Permítasenos ahora [...] examinar los males que derivan de reducir de 12 a 10 horas el tiempo de trabajo... Los mismos <<ascienden>> al perjuicio más grave inferido a las perspectivas y la propiedad del fabricante. Si antes él" (es decir su "mano de obra") "trabajaba 12 horas y ahora queda limitado a 10, entonces cada 12 máquinas o husos de su establecimiento se verán reducidos a 10 (then every 12 machines or spindles in his establishment, shrink to 10), y si quisiera vender su fábrica, se las evaluaría solamente como 10, de tal modo que en todo el país habría que deducir una sexta parte del valor de cada fábrica" [13].
Para este ancestral cerebro capitalista del oeste de Escocia, el valor de los medios de producción, husos, etc., se confunde a tal punto con su atributo, propio del capital, de valorizarse a sí mismos o de deglutir diaria y gratuitamente una cantidad determinada de trabajo ajeno, que el jefe de la casa Carlile & Co. de hecho se figura que en caso de vender su fábrica no sólo se le pagará el valor de los husos, sino por añadidura su valorización; no sólo el trabajo que se encierra en ellos y que es necesario para la producción de husos del mismo tipo, sino también el plustrabajo que le ayudan a succionar diariamente de los valerosos escoceses occidentales de Paisley, [exclamdown]y precisamente por eso, opina, con la reducción de la jornada laboral en dos horas el precio de venta de 12 máquinas de hilar se reducirá al de 10 máquinas!
NOTAS:
[jj] En la 4ª edición, el párrafo quedó redactado de la siguiente manera:
"El capital variable, empero, es la expresión dineraria correspondiente al valor total de todas las fuerzas de trabajo que el capitalista emplea simultáneamente.
Su valor será igual, pues, al valor medio de una fuerza de trabajo, multiplicado por el número de fuerzas de trabajo empleadas.
Por consiguiente, si el valor de la fuerza de trabajo está dado, la magnitud del capital variable estará en razón directa de la cantidad de obreros utilizados simultáneamente.
Si el valor diario de una fuerza de trabajo es = 1 tálero, será necesario adelantar un capital de 100 táleros para explotar diariamente 100 fuerzas de trabajo; de táleros para explotar fuerzas de trabajo".
[kk} 3ª edición:
"tendremos entonces esta ley"; 4ª edición:
"tendremos entonces esta primera ley".
[ll] En la versión francesa la segunda parte de esta frase dice así: "o bien es igual al valor de una fuerza de trabajo, multiplicado por el grado de su explotación, multiplicado por el número de fuerzas empleadas conjuntamente".
[mm] 3ª y 4ª ediciones: "50 táleros".
[1] Esta ley elemental parece serles desconocida a los caballeros de la economía vulgar, Arquímedes al revés que creen haber encontrado, en la determinación de los precios del trabajo en el mercado por la oferta y la demanda, la palanca no para mover de sus quicios al mundo, sino para mantenerlo en reposo.
[nn] 4ª edición: "la reducción del capital variable".
[oo] 4ª edición: "la restricción del número de obreros explotados".
[pp] 4ª edición: "segunda ley".
[2] Más detalles sobre el particular en el libro cuarto.
[3] Libro cuarto. --Marx se refiere aquí a la parte de su obra que hoy conocemos por "Teorías del plusvalor".-- 372.
[4] Piedra del escándalo. --Expresión bíblica ("Isaías", VIII, 14, "Romanos IX", 32-33, etc.). En la versión de De Reina y De Valera se lee en "I Pedro", II, 8, por ejemplo: "Piedra de tropiezo y roca de escándalo a aquellos que tropiezan en la palabra".-- 372.
[5] Realmente tampoco ha aprendido nada. --"Nadie se ha corregido, nadie ha sabido olvidar nada ni aprender nada", habría dicho Talleyrand, en 1796, de los cortesanos que rodeaban al conde de Provenza, autoproclamado Luis XVIII.-- 372.
[6] La cita implícita (por decirlo así) es fiel al pensamiento de Spinoza, pero no parece ser textual. En el apéndice a la parte I de la Ética (utilizamos la traducción española de Angel Rodríguez Bachiller, editada por Aguilar en Buenos Aires, 1961), Spinoza critica a quienes "han introducido [...] una nueva manera de argumentar, la reducción, no a lo imposible, sino a la ignorancia; lo que demuestra que no tenían ningún otro medio de argumentar". "Saben que destruir la ignorancia es destruir el asombro imbécil, es decir, su único medio de razonamiento y la salvaguardia de su autoridad" (ed. cit., pp. 83-84). En "La ideología alemana" Marx y Engels citan la tesis espinociana bajo la forma "La ignorancia no es argumento", mientras que en el "Anti-Dühring" Engels reproduce en latín el aforismo: "Ignorantia non est argumentum".
[7] "El trabajo de una sociedad, esto es, su tiempo económico, representa una porción dada, digamos 10 horas diarias de un millón de personas, o diez millones de horas... El capital tiene un límite opuesto a su crecimiento. Este límite puede alcanzarse, en cualquier período dado, dentro de la extensión actual del tiempo económico que se emplea." ("An Essay on the Political Economy of Nations", Londres, 1821, pp. 47, 49.)
[8] "El agricultor no debe basarse en su propio trabajo, y si lo hace, sostengo que perderá con ello. Debe ocuparse en la atención general del conjunto; tiene que vigilar a su trillador, o pronto perderá los salarios pagados por trigo no trillado; ha de observar a sus segadores, cosechadores, etc.; constantemente tiene que inspeccionar sus cercos, debe ver que no haya negligencia, lo que ocurriría si estuviera confinado en un punto." ([John Arbuthnot,] "An Enquiry into the Connection between the Price of Provisions, and the Size of Farms... By a Farmer", Londres, 1773, p. 12.) Esta obra es muy interesante. Puede estudiarse en ella la génesis del "capitalist farmer" [agricultor capitalista] o "merchant farmer" [agricultor comercial], como expresamente se lo denomina, y prestar oídos a su autoglorificación frente al "small farmer" [pequeño agricultor], que esencialmente debe trabajar para su subsistencia. "La clase de los capitalistas queda liberada, primero parcial y por último totalmente, de la necesidad del trabajo manual." ("Textbook of Lectures on the Political Economy of Nations", por el reverendo Richard Jones, Hertford, 1852, lección III, p. 39.)
[9] bis La teoría molecular aplicada en la química moderna, que Laurent y Gerhardt desarrollaron científicamente por vez primera, no se funda en otra ley. {F. E. Agregado a la 3ª edición . Para explicar este aserto, que resultará bastante oscuro a los no químicos, hacemos notar que el autor se refiere aquí a las "series homólogas" de hidrocarburos, a las que Charles Gerhardt designó así por primera vez, en 1843, y cada una de las cuales tiene su propia fórmula algebraica. Así, por ejemplo, la serie de las parafinas: Cn H2n+2; la de los alcoholes normales: Cn H2n+2 O; la de los ácidos grasos normales, Cn H2n O2 y muchos otros. En los ejemplos precedentes, mediante la adición puramente cuantitativa de CH2 a la fórmula molecular se crea cada vez un cuerpo cualitativamente diferente. Con respecto a la participación de Laurent y Gerhardt en la comprobación de este importante hecho (participación sobrestimada por Marx), cfr. Kopp, "Entwicklung der Chemie", Munich, 1873, pp. 709 y 716, y Schorlemmer, "Rise and Progress of Organic Chemistry", Londres, 1879, p. 54.}
[10] Véase Hegel, "Wissenschaft der Logik", libro I, sección tercera, cap. II, B.-- 374.
[11] 206 "La sociedad monopolia" llama Martín Lutero a semejantes instituciones.
[12] 207 "Reports... 30th April 1849", p. 59.
[13] 208 Ibídem, p. 60. El inspector fabril Stuart, escocés él también y, a diferencia de los inspectores fabriles ingleses, totalmente imbuido en el modo de pensar capitalista, indica expresamente que esta carta, que incorpora a su informe, "es la más útil de todas las comunicaciones hechas por cualquiera de los fabricantes que emplean el sistema de relevos, y concebida de modo especialísimo para disipar los prejuicios y escrúpulos relativos a ese sistema".